Contoh Soal Keperawatan Jiwa Beserta Pembahasannya

Blog tentang materi Keperawatan kebidanan Asuhan Keperawatan Kumpulan Standar operasional prosedur SOP tindakan keperawatan Materi SMK dan jobsheet Asisten Perawat. Ketika melakukan pengkajian post partum pada seorang klien perawat menemukan adanya bekuan darah pada lochia.


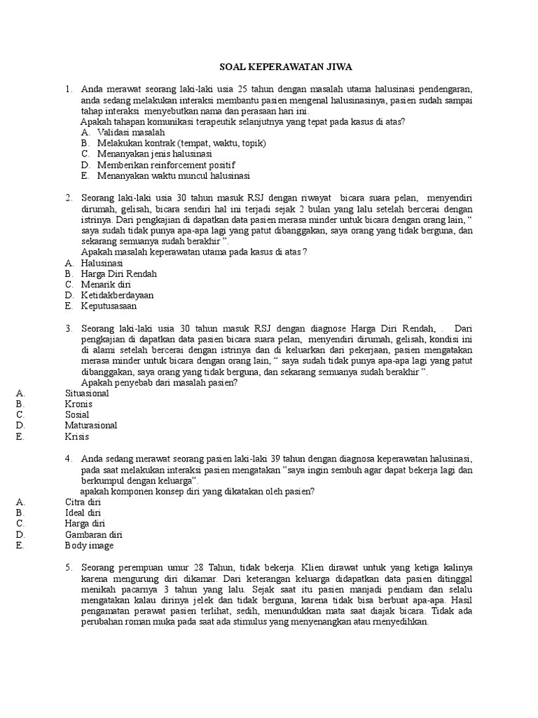
Contoh Soal Kasus Dan Pembahasan Keperawatan Jiwa 1

Uji Kompetensi Ukom Perawat Dan Ners from ukomperawatcoid.

Contoh soal keperawatan jiwa beserta pembahasannya. Berikut ini adalah 9 contoh soal ukom keperawatan beserta jawaban dan uraiannya yaitu. Seorang perempuan berusia 55 tahun di rawat di ruang rawat dewasa dengan diagnose stroke sejak 5 hari yang lalu. 9 sor Kumpulan Soal Soal Uji Kompetensi UKOM Keperawatan Jiwa serta Kunci.

9 rows Kumpulan Soal Soal Uji Kompetensi UKOM Keperawatan Jiwa serta Kunci. Klien sering mendengar suara-suara yang menyuruhnya untuk membunuh suaminya. Berikut contoh soal pembahasan uji kompetensi perawat d3 departeman keperawatan medikal bedah kmb.

Berikut ini adalah 9 contoh soal ukom keperawatan beserta jawaban dan uraiannya yaitu. 20200905 Contoh soal ukom keperawatan beserta jawabannya contoh soal ukom keperawatan. Soal keperawatan jiwa dan jawabannya.

Tugas manakah yang kurang sesuao untuk pembantu perawat. Contoh Soal Uji Kompetensi UKOM Keperawatan Jiwa dan Kunci Jawaban Edisi 180 Berikut ini adalah Latihan Uji Kompetensi Perawat UKOM bagian ke 180 beserta kunci jawabannya serta pembahasannya everything you do its for you. Berikut ini adalah latihan uji kompetensi perawat ukom keperawatan anak bagian ke 177 beserta kunci jawabannya serta pembahasannya.

Dibawah ini adalah contoh soal uji kompetensi ukom manajemen keperawatan beserta kunci jawabannya 1. Kemungkinan besar untuk soal Ukom mata kuliah Keperawatan Jiwa bakalan mirip seperti yang dibahas divideo ini. Contoh Soal Uji Kompetensi Keperawatan Keluarga Serta Kunci Jawaban Edisi 2 Pdf Ukom Perawat.

Contoh soal uji kompetensi ukom keperawatan keluarga serta kunci jawaban pdf dibawah ini adalah kisi kisi contoh soal uji kompetensi keperawatan keluarga dan kunci jawaban serta pembahasan lengkap 1. Dalam dunia keperawatan ada banyak sekali materi yang perlu di pahami. Semoga soal pilihan ganda uji kompentensi keperawatan gerontik beserta jawaban dan pembahasannya ini bermanfaat buat kita semua.

Koleksi Contoh Soal Ukom Keperawatan Terupdate. Seorang laki laki usia 60 tahun tinggal di panti tresna wreda sejak 2 tahun yang lalu. Contoh soal uji kompetensi ukom keperawatan jiwa dan kunci jawaban edisi 180 kebanyakan dari kita menganggap enteng soal soal ukom keperawatan jiwa ini namun setelah dilakukan tryout secara nasional ternyata lumayan banyak dari teman teman yang kebingungan mencari jawaban yang paling tepat dan sekerdar diketehui rata rata terdapat dua kunci jawaban yang.

Kamu adalah perawat profesional yang akan ditugaskan di desa terpencil untuk melakukan kegiatan asuhan keperawatan komunitas. - Seputar Kuliah Kesehatan. Latihan contoh soal kasus ujian kompetensi keperawatan jiwa beserta pembahasannnya DOWNLOAD.

Contoh soal uji kompetensi ukom keperawatan jiwa dan kunci jawaban edisi 180 kebanyakan dari kita menganggap enteng soal soal ukom keperawatan jiwa ini namun setelah dilakukan tryout secara nasional ternyata lumayan banyak dari teman teman yang kebingungan mencari jawaban yang paling tepat dan sekerdar diketehui rata rata. Dibawah ini adalah contoh soal uji kompetensi keperawatan jiwa beserta kunci jawabannya 1. Admin dari blog Barisan Contoh 2019 juga mengumpulkan gambar-gambar lainnya terkait contoh soal kasus keperawatan jiwa beserta jawabannya dibawah ini.

Contoh Soal Kasusu Keperawatan Jiwa Beserta Jawabanya. Soal ukom dan skb perawat 2020manajemen keperawatan full pembahasan part 1 by brajakson siokal 3224. Contoh soal uji kompetensi ukom kasus keperawatan medikal bedah kmb dan kunci jawaban berikut ini adalah latihan uji kompetensi perawat ukom kmb bagian ke 175 beserta kunci jawabannya serta pembahasannya hai halo teman teman semuanya apa kabar kalian yang dari sabang sampai merauke saya harap kalian baik baik saja yaa dan teteap fit serta.

Klien menceritakan semua hal tentang kehidupannya dahulu kepada perawat. Contoh Soal Uji Kompetensi UKOM Keperawatan Full Gawat Darurat Gadar Edisi Ke 172 Dibawah ini adalah Latihan Uji Kompetensi Perawat UKOM Keperawatan Gawat Darurat Gadar bagian ke 172 beserta kunci jawabannya serta pembahasannya 1. Download Soal Keperawatan Jiwa Dan Jawabannya PDF 600 MB - SamPDF SamPDF Soal ukom perawat - Keperawatan Jiwa Soal ukom perawat - Keperawatan Jiwa.

Kumpulan Contoh Soal Contoh soal logaritma dan pembahasannya beserta jawabannya by fitra rumus posted on december 27 2019 rumuscoid pada kesempatan kali ini kita akan membahas tentang contoh soal logaritma matematika kelas 10 penjumlahan pengurangan beserta. Contoh soal uji kompetensi keperawatan beserta kunci jawaban. Berikut contoh soal ukom yang sering keluar saat Ukom di mata kuliah Keperawatan Jiwa.

Contoh soal uji kompetensi keperawatan jiwa beserta kunci jawaban revisi 2021. Inilah pembahasan lengkap terkait contoh soal kasus keperawatan jiwa beserta jawabannya. Contoh soal kesehatan jiwa anggota kelompok.

Seorang perempuan 28 tahun dirawat dengan Schizoprenia Paranoid. Soal Uji Kompetensi UKOM ke 43 beserta kunci jawabannya1. Contoh soal uji kompetensi ukom keperawatan gerontik dan kunci jawaban edisi 185 berikut ini adalah latihan uji kompetensi perawat ukom gerontik bagian ke 185 beserta kunci jawabannya serta pembahasannya halo semuanya kembali lagi dengan.

Contoh Soal Uji Kompetensi UKOM Keperawatan Jiwa beserta Kunci Jawaban Edisi 181 Berikut ini adalah Latihan Uji Kompetensi Perawat UKOM bagian ke 181 beserta kunci jawabannya serta pembahasannya. Klien memerlukan bantuan minimal dalam tindakan keperawatan dan. Contoh soal uji kompetensi keperawatan gerontik berbagi contoh soal.


Pdf Pembahasan Soal Kep Jiwa Appskep Quiz Academia Edu


Contoh Soal Kasus Keperawatan Jiwa Beserta Jawabannya Contoh Soal Terbaru


Contoh Soal Keperawatan Jiwa Beserta Pembahasannya Cara Golden


Contoh Soal Kasus Keperawatan Jiwa Beserta Jawabannya Contoh Soal Terbaru


Soal Keperawatan Jiwa


Contoh Soal Keperawatan Jiwa Beserta Pembahasannya Cara Golden


Contoh Soal Kasus Keperawatan Jiwa Beserta Jawabannya Contoh Soal Terbaru


Soal Keperawatan Jiwa


Contoh Soal Keperawatan Jiwa Beserta Pembahasannya


Komentar

Postingan populer dari blog ini

Contoh Petunjuk Arah Hajatan

Cara Melihat Daftar Nama Alumni Sekolah

Cara Cek Siswa Terdaftar Di Sekolah Mana